Skip to main content
Thori Rural Municipality (ठोरी गाउँपालिका)
मधेश प्रदेश, नेपाल
"सु-शासनयुक्त सक्षम एवं सवल स्थानिय सरकार ! पुर्वाधार निर्माण, कृषि, पर्यटन र सशक्तिकरण ठोरीको आधार !!"
गृहपृष्ठ
परिचय
संगठनात्मक स्वरुप
जन प्रतिनिधि
पूर्व जनप्रतिनिधि
कर्मचारी विवरण
पूर्व कर्मचारी
श्रोत नक्सा
वडा कार्यालयहरु
वडा न. १
वडा न. २
वडा न. ३
वडा न. ४
वडा न. ५
कार्यक्रम तथा परियोजना
बजेट तथा कार्यक्रम
योजना तथा परियोजना
आय व्यय विवरण
विधुतीय शुसासन
घटना दर्ता
सामाजिक सुरक्षा
नागरिक वडापत्र
प्राय सोधिने प्रस्नहरु
अति आवसश्यक नम्बरहरु
नमुना फारमहरु
सेवाहरु
प्रतिवेदन
मासिक प्रगति प्रतिवेदन
चौमासिक प्रगति प्रतिवेदन
वार्षिक प्रगति प्रतिवेदन
लेखा परीक्षण प्रतिवेदन
अनुगमन प्रतिवेदन
सार्वजनिक सुनुवाई
सार्वजनिक परीक्षण
सामाजिक परिक्षण
प्रकाशन
सूचना
सूचना तथा समाचार
सार्वजनिक खरिद/बोलपत्र सूचना
ऐन कानुन निर्देशिका
कर तथा शुल्कहरु
निर्णयहरु
नगर परिषदका निर्णयहरु
नगरपालिका बोर्डको निर्णयहरु
नगरपालिकाका निर्णयहरु
ग्यालरी
विद्यालयहरु
हेलो गाॅउपालिका
You are here
Home
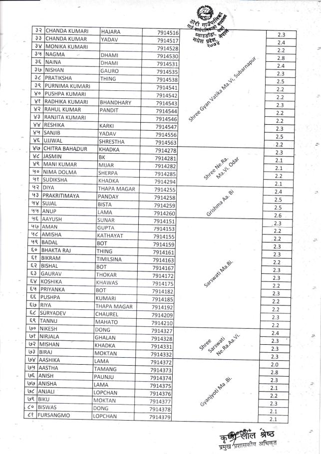
» आधारभूत तह उत्तीर्ण ग्रेड परीक्षा २०७९, परीक्षाफल प्रकाशन सम्बन्धी सूचना
आधारभूत तह उत्तीर्ण ग्रेड परीक्षा २०७९, परीक्षाफल प्रकाशन सम्बन्धी सूचना
Submitted on:
Sun, 05/07/2023 - 13:22
प्रकार:
सूचना तथा समाचार
आर्थिक वर्ष:
८०/८१
//